文章详情
去App查看

因油耗超标 中国停售553款汽车 对你买车有重大影响

中国汽车技术服务中心公布了一份通知《关于停止生产燃料消耗量未达标车型的通知》,从2018年1月1日起,停止553款不符合燃料消费标准的车型的生产销售,多家汽车品牌上榜,涉及德系、美系、日系、韩系、法系、中国品牌。

近日,中国汽车技术服务中心公布了一份通知《关于停止生产燃料消耗量未达标车型的通知》,从2018年1月1日起,停止553款不符合燃料消费标准的车型的生产销售,多家汽车品牌上榜,涉及德系、美系、日系、韩系、法系、中国品牌。


分析人士透露,为了应对空气污染和能源消耗,这份名单仅仅是个开始,后续当然会有更多车型被停止生产销售。



对各位需要买车、用车的消费者有什么影响呢?政策环境一方面鼓励节油、新能源车型的生产,另一方面加快淘汰高油耗的传统燃油车。双重政策的影响下,市场上可供大家选择的小排量涡轮车、插电混动车、纯电动车会越来越多,会逐渐成为市场主流。而带有高油耗属性的大排量、多气缸、自然吸气的车会越来越少,喜欢这些车的朋友们且买且珍惜。


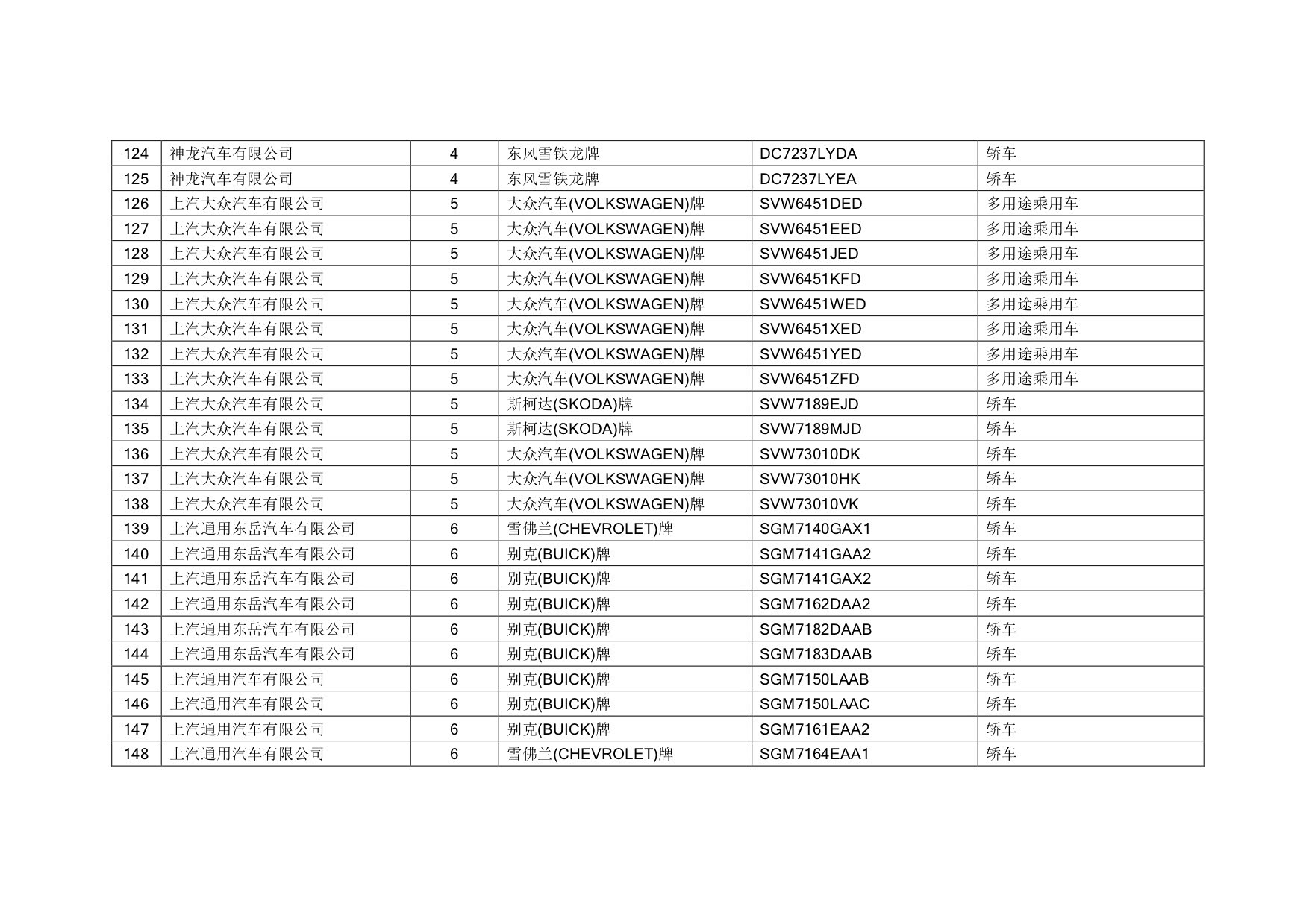
553款车型的详细名单可见 http://www.cvtsc.org.cn/cvtsc/notice/1397.htm

(图片可以点击放大)


百度搜产品型号代码即可找到对应车型。


如FV6461HBQBG,就可以查到相应批次的奥迪Q5 2.0T车型









点击展开剩下0%
打开汽车之家App 阅读体验更佳
本内容来自汽车之家创作者,不代表汽车之家的观点和立场。
举报/纠错
打开汽车之家App 查看全部评论
相关阅读
数据加载中...
发条有爱评论~
评论
点赞
收藏
分享
2026-02-22 04:47:17
2026/2/22 04:47:17