电动车复合材料电池盒轻量化设计方法

汽车轻量化在线 2018-09-07 09:50:26 显示图片

电动车复合材料电池盒轻量化设计方法



摘要:为了减小电动汽车车体的质量,分析了电动汽车电池盒的承载特点,基于刚度等效的设计方法,采用复合材料替代金属材料。应用复合材料的叠层结构力学理论对电池盒体进行叠层结构构建,建立了力学方程和优化方程,确定了复合材料电池盒的结构参数。为了验证轻量化效果,运用理论解析和有限元数值分析相结合的方法,对比了金属材料和复合材料的刚度和形变,研究结果表明:采用复合材料利用刚度等效设计法是对电动汽车零部件进行轻量化设计的有效途径,也可为汽车板型零件承载结构的轻量化设计提供借鉴。

关键词:轻量化;电池盒;复合材料;刚度分析;有限元分析

0引言

电能成为汽车的动力源是目前我国汽车工业的重点发展目标。对纯电动车性能很重要的评价指标就是要有高的续航里程、车速和加速性能,因此人们对动力电池的能量需求很大。目前能提供足够电能的电池,其质量大多数占整车质量的1/3-1/5,且电池总成在车体中占据的空间也大。

作为电池总成之一的电池盒是电池的承载和保护装置。传统电动汽车电池盒的材料多采用钢材或铝材,通过冲压、焊接或铸造的加工方式获得。即使采用密度较小的铝合金制成电池盒会减轻一些质量,但由于铝的比强度和比刚度较小,要达到汽车电池盒的安全标准需经过碰撞和防爆实验,这使得铝合金制电池盒的厚度一般在5mm以上。

加之整体电池盒尺寸较大,导致电池盒的质量较大,加大了汽车本身的自重,相应使得汽车的能耗增加,影响续航里程等性能,与目前倡导的汽车轻量化发展目标背道而驰,因此电池盒轻量化设计的任务很紧迫,其结构的安全性设计也成为挑战。复合材料因其质轻、高比强度、耐腐蚀、一体化成形等诸多优点,率先在航空航天领域得到了迅猛的发展,其复合材料力学理论越来越完善,生产工艺越来越自动化及规模化。为满足目前汽车节能减排的需求,人们急需发展汽车轻量化技术,因此复合材料在汽车领域被广泛使用,但复合材料力学理论如何满足汽车部件的具体使用要求,还需进一步的研究与探讨。电池盒作为动力电池的承载体,本文根据其主要承受均布载荷的特点,应用复合材料进行叠层结构设计,采用刚度等效设计法代替密度较大的金属材料并证明了该方法具有明显的优势。

1等效刚度设计原理

等效刚度设计是在载荷和基本结构不变的前提下,根据已满足承载要求的金属结构件的刚度为目标,设计复合材料的叠层结构和计算其叠层的刚度,将两者的刚度进行比较,应满足:

2电池盒的结构分析

由于电池盒体积较大,为了不占据车身内部空间,许多电动汽车布置时是将电池盒固定连接到汽车地板上,两侧以地板纵边梁作为防护,如图1所示。为了实现结构效率的最大化和降低制造成本,根据电池盒承载的特点,可将复合材料的电池盒设计为一体化成形的盒体和可拆卸的盒盖。盒盖的作用是覆盖和保护,通常其结构强度的要求没有盒体要求高,因此本文将盒体的刚度设计视为首要任务。

本研究一体化成形的复合材料盒体的净空间与金属盒体完全一样,其组成部分均由悬挂翻边、侧壁和底部三个部分组成,悬挂翻边和侧壁主要作用是传递盒底部载荷,采用平行于盒体各个组成平面方向的复合材料叠层结构,可充分发挥增强纤维的刚度优势。由于盒底部是承受电池质量的主体,其厚度远远小于长度和宽度,可将电池盒的底部作为承受均布载荷的薄板来看待,其应力、变形可按薄板弯曲问题来处理,因此,本文的复合材料叠层结构的面内刚度和弯曲刚度设计是最重要的设计内容。

3金属材料薄板刚度的确定

金属制成的薄板是各向同性材料,由弹性力学的理论可知,在金属薄板xy平面内,面内平均应力N与中面应变ε(0)的本构关系式为

式中,Nx、Ny、Nxy分别为金属薄板xy平面内x方向的平均应力、y方向的平均应力、xy平面内的剪切应力;ε(0)x、ε(0)y、γ(0)xy分别为金属薄板中面xy平面内x方向的应变、y方向的应变、xy平面内的剪切应变;Aij(i,j=1,2,6)为面内刚度系数;E为金属材料的弹性模量;δ为材料厚度;μ为泊松比。

在金属薄板平面xy内,各面内平均应力N所合成的弯矩M与金属薄板曲率κ的关系式为

式中,Mx、My、Mxy分别对应为金属薄板xy平面内平均应力Nx、Ny、Nxy所合成的弯矩;κx、κy、κxy分别为Mx、My、Mxy作用下的曲率;Dij(i,j=1,2,6)为金属薄板弯曲刚度系数。由式(2)、式(4)可知,金属薄板面内刚度和弯曲刚度是由金属材料力学参数和薄板厚度决定的。

4复合材料叠层板刚度的确定

4.1复合材料电池盒的叠层体系构建

由于增强纤维树脂复合材料具有各向异性的力学特性,其叠层结构要根据受力的特点进行单层材料的增强纤维和基体的材料选择,体积含量的确定,叠层中各单层纤维方向、铺层顺序的设计,叠层层数的确定等,即进行复合材料叠层体系构建,其设计结果直接影响其承载能力。

分析电池盒内的电池和辅助设备对盒体的作用力可确定电池盒承受均布载荷,要使盒体具有与各向同性材料相同的承载能力,因此设计采用对称准各向同性铺层[0/±45/90]ms(s表示对称铺层;m表示铺层组数,m=1,2……),0°方向角铺层用来承受叠层板平面内x轴上作用的载荷,±45°方向角铺层承受平面内的剪切应力,90°方向角铺层承受平面内y轴上作用的载荷。这样的铺层方式其面内刚度分布和与各向同性材料相同,更重要的是没有拉弯的耦合效应。这样的铺层设计使得电池盒整体变形挠度、最大应力值和最大应变值均较小。铺层的层数要兼顾满足材料用量少和工艺易于实现的要求,铺层总层数为n=8m。

4.2复合材料叠层板的刚度设计

4.2.1面内刚度的计算公式

依据复合材料叠层板结构经典力学理论,经过对[0/±45/90]ms铺层方案的推导,在xy平面内,面内平均应力N*与中面应变ε(0)关系式为

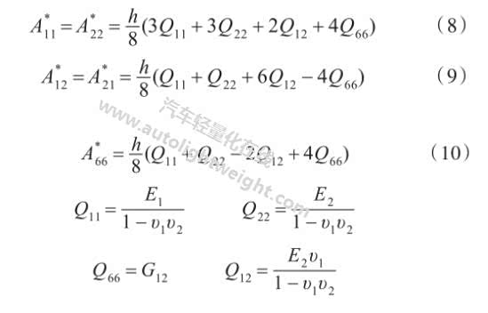
针对所设计的铺层方案,可推导出面内刚度系数A*ij与正轴刚度系数Qij的关系:

式中,E1、E2分别为材料的纵向和横向弹性模量;G12为材料的剪切模量;υ1、υ2分别为材料的纵向和横向泊松比。

4.2.2弯曲刚度的计算公式

由于所设计的铺层方案是对称铺层,故其弯矩M*与曲率κ的关系式为

为了工艺制作方便,各单层采用相同厚度且单层总数为偶数,则式(11)中的弯曲刚度系数可表示为

式中,θ为第k单层纤维的方向角。在弯曲刚度中,存在弯扭耦合系数D*16、D*26,如果铺层层数合理选择,其弯扭耦合所产生的变形可控制在允许范围之内。

5复合材料叠层层数优化

由上述公式的推导可知,各铺层的角度θ已经设计完成,根据复合材料的力学工程参数E1、E2、G、υ1(或υ2)和总层数n就可计算出叠层板的面内刚度系数A*ij和弯曲刚度系数D*ij。为了得到较小的电池盒质量并满足刚度要求,需要确定合理的铺层总数n,为此建立以质量最小为优化目标函数,弯曲刚度为约束条件的优化方程:

式中,S为电池盒展开面积;ρ为材料密度。可通过上述优化方程初步确定铺层总数n。由于电池盒所产生的变形是由层合板的弯曲刚度、面内刚度及边界的约束状态共同作用的结果,因此在保证满足弯曲刚度要求的前提下,要保证复合材料电池盒的总体变形不大于金属电池盒的总体变形,可采用直观的有限元数值分析方法得到其变形云图。如果变形过大,可增加复合材料面内刚度大于金属材料面内刚度为约束条件来进行铺层总数n的确定。

6复合材料叠层板的强度校核

判断复合材料强度失效的准则是采用单层板蔡-吴张量理论,材料表面的破坏存在下列准则:

其中,Fi、Fij(i,j=1,2,6)为所选用材料的强度参数;σi为各单层主轴应力,可以通过设计的铺层方案和选择的材料所确定的叠层板刚度系数及载荷计算求得,也可以采用有限元数值分析的方法获得;R为强度比(极限应力与施加应力之比),考虑到材料可能存在瑕疵和误差,为安全起见,取值应大于4。

7复合材料叠层结构的电池盒设计实例

以承受均布载荷500kg的电池盒为例,对比分析采用复合材料叠层结构代替金属板的设计过程。

7.1计算金属电池盒的底板刚度

金属材料采用Q235钢板,电池盒的长×宽×高为1400mm×1200mm×200mm,其工程弹性参数见表1。

工程设计中对薄板盒体承载结构的强度分析可采用快捷的有限元数值仿真技术。考虑到电池盒所承受的冲击载荷,选择安全系数为2.5,确定其冲击载荷作用下的许用应力[σ]为94MPa,应用ABAQUS数值分析软件,约束方式选择侧面为简支边,选择8节点6面体单元,得到金属电池盒最大应力接近许用应力时的村料厚度为3.8mm。图2所示为应力分布,可以看出,最大应力值为90.37MPa;图3所示为变形分布,可以看出,最大变形为9.978mm。

将表1中材料的弹性参数及材料厚度3.8mm分别代入式(3)和式(5)得到金属材料Q235的面内刚度为

7.2确定复合材料的叠层底板刚度

相同尺寸的电池盒选用常用的复合材料为T300/5208碳纤维增强环氧树脂为叠层板材料,其材料的性能参数见表2。

叠层板铺层的方位角度也已设计,铺层组数m与刚度系数具有相对应的函数的关系(见式(8)~式(10)和式(12))。经过计算可得到铺层组数与面内刚度系数的关系曲线,如图4所示。图5所示为铺层组数与弯曲刚度系数的关系曲线。

通过图5所示的复合材料弯曲刚度系数与金属弯曲刚度系数的对比以及优化方程的计算可知,在m为6时,叠层板弯曲刚度与金属板弯曲刚度等效;弯曲系数中的D*16和D*26为拉扭耦合刚度系数,随着层数的增加,其绝对值增大。在盒底部受均布载荷情况下,其主要的变形是挠曲变形,可通过对比复合材料电池箱的挠曲变形是否不大于金属电池盒的挠度变形来检验铺层数m的合理性。采用与金属电池盒相同的约束形式和网格划分方法得到复合材料电池盒的最大挠度变形量为7.205mm,如图6所示。最终确定铺层组数m为6,总层数n为48,总厚度为6mm。

7.3复合材料单层板强度校核

为了保证电池盒的强度安全,需要按照复合材料强度校核方法来计算上述所设计的叠层结构中最薄弱的单层板的强度是否满足要求。

T300/5208复合材料各方向的强度参数值可通过实验和计算获得,式(14)中的强度参数见表3。

采用ABAQUS有限元数值分析的方式,可方便获取各个铺层的主轴应力σi。图7为针对所设计的铺层单层应力分布最大的第2层应力σ1分布云图,可以看出,σ1=-89.06MPa。同理得到第2层的主轴应力σ2、τ12分别为σ2=-4.659MPa,τ12=-1.696MPa。通过式(14)的计算,得出强度比R=7.95,满足强度要求。

8复合材料轻量化设计的效果

为进一步分析复合材料轻量化的效果,又选择了铝镁合金5083进行对比分析,其材料的性能参数见表4。以达到与Q235钢相同的弯曲变形为设计目标,对比三种材料的电池盒的质量和材料厚度,如表5所示。

9结语

针对目前汽车轻量化设计要求,采用刚度等效设计法,可方便且快速地进行复合材料的结构设计。树脂基一体化成形的复合材料结构不需要较多的冲压、焊接工艺,且防腐涂装等工艺可省去,从而降低了制造成本。在结构一体化设计时,还要考虑电池在使用中的一些特殊需求,如工作温度、电磁屏蔽等,可进一步将电池盒设计为具有复合功能的一体化结构。对于车体内的大型板零件,如地板、顶盖、前发动机盖、后行李箱盖等都可采用刚度等效设计法进行复合材料轻量化设计,需求的刚度越大,复合材料轻量化的优势越明显。

来源:作者:赵晓昱、张树仁

长春理工大学机电工程学院